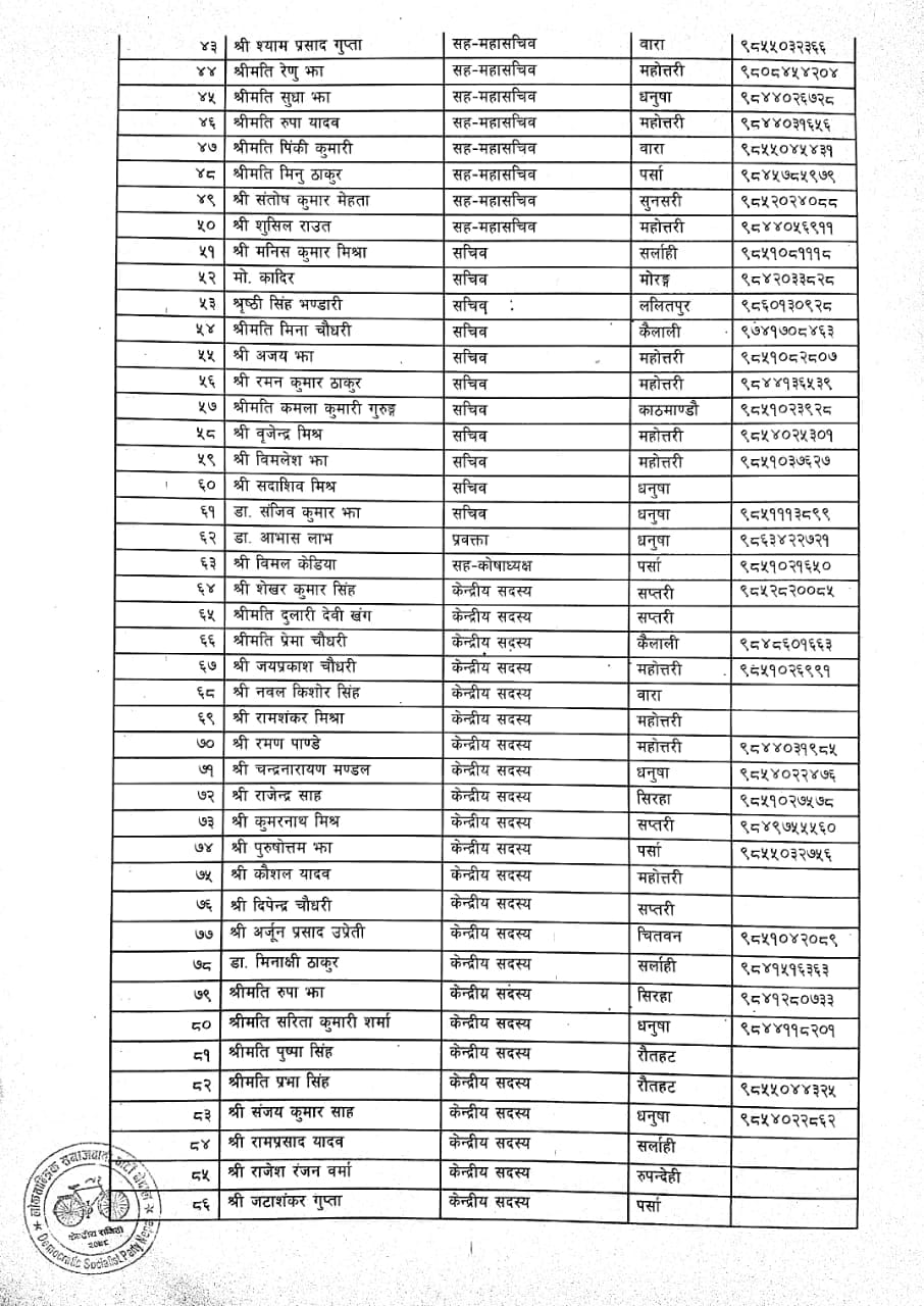
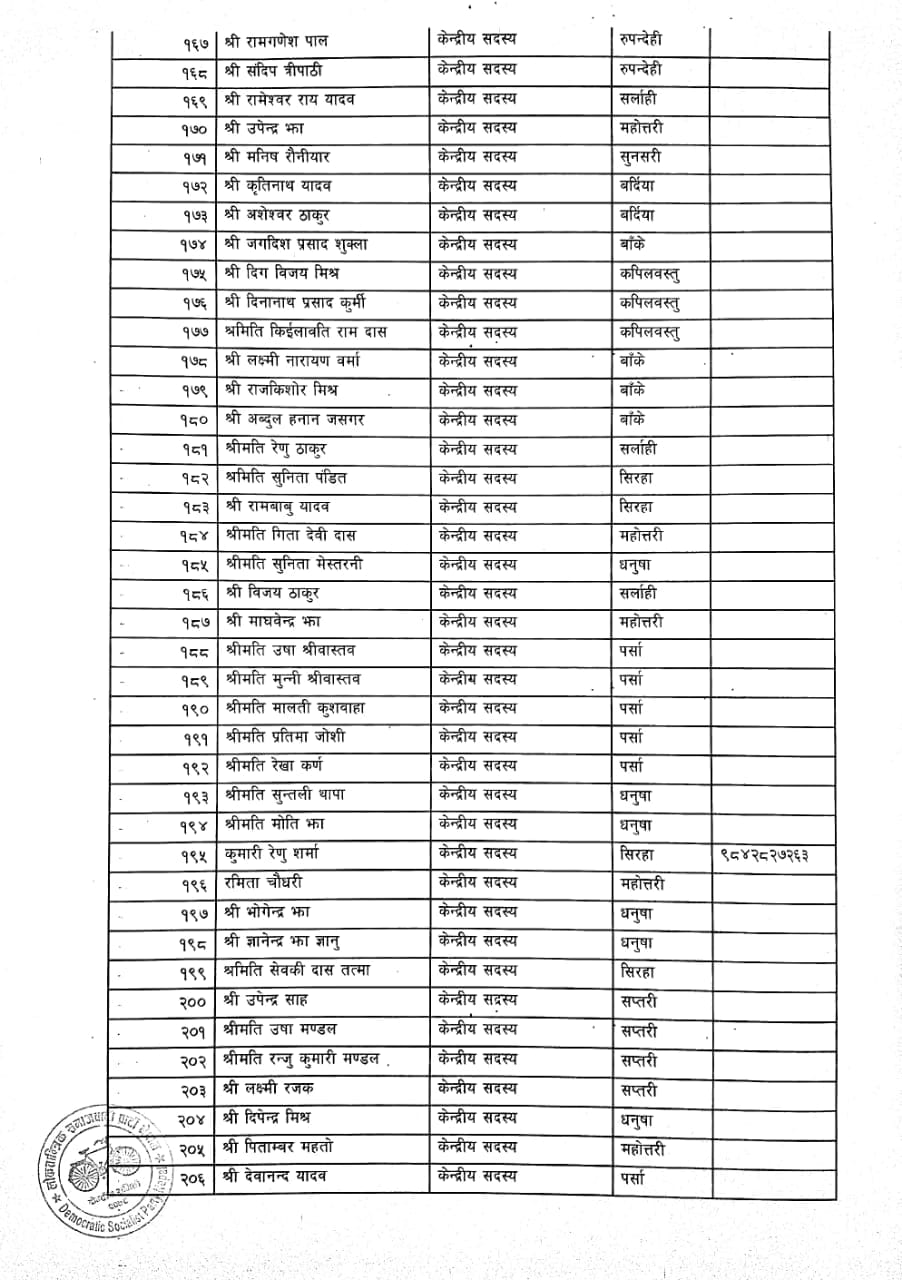
काठमाडौं असोज ८ गते । लोकतान्त्रिक समाजवादी पार्टीले ३११ सदस्यीय केन्द्रीय समिति गठन गरेको छ । केन्द्रीय समितिमा एक जना अध्यक्षसहित ६५ जना पदाधिकारी रहेका छन् । तीन जना वरिष्ठ नेता, एक जना वरिष्ठ सहअध्यक्ष, छ जना वरिष्ठ उपाध्यक्ष, उपाध्यक्ष मात्र १५ जना, महासचिव १६ जना, सहमहासचिव आठ जना, सचिव ११ जना, कोषाध्यक्ष दुई जना, प्रवक्ता एक जना, र सह कोषाध्यक्ष एक जना रहेका छन् ।



तपाईको प्रतिक्रिया